我国淡水资源短缺,全国约有1/5的城市严重缺水,为了缓解水资源短缺问题,亟需开发利用非常规水源,减轻用水压力。再生水是人工的第二水源,城市污水再生水就属于第二水源。污水再生利用能够减少对常规水的消耗,不仅能够节约水资源,而且能够减少污水排放给环境水体所带来的污染。这对污水处理行业提出了更高的要求,带来了新的挑战与机遇。为克服传统污水脱氮除磷技术的缺点,多点进水多级AO工艺应运而生。多点进水多级AO工艺是在传统AAO工艺及Bardenpho工艺的基础上结合发展而来,在日本应用较为广泛,最近在我国开始逐步推广使用,其多级AO的级数在2~4级。我国目前应用该工艺的类似案例包括辽宁锦州、天津张贵庄、石家庄桥西等污水处理厂的提标改造工程,均取得了较好的效果。
本文针对北方寒冷地区污水处理厂污水在冬季一般低碳高氮、达标困难的难题,提出了多点进水多级AO工艺的技术特点、影响因素及设计计算方法,可为类似项目的设计计算提供参考。
01 项目概况
1.1 背景
唐山市中心城区规划污水量约为80万m3/d,根据市政府的规划要求,对再生水的处理必须占到集中处理污水的60%以上。唐山市政府在2018年又出台了《全域治水清水润城工程实施方案》,由于原中心城内污水厂对周边环境影响日益受到公众关注,以及排放标准的进一步提高,须将原中心城的污水厂进行迁建,新建2座大型规模的污水厂,出水标准达到“准Ⅳ类”水(除TN外,其余指标均达到地表水Ⅳ类标准),同时可为唐山市提供再生水资源。
唐山市地处渤海湾中心地带,多年年平均气温在10.0~11.3 ℃。1月温度最低,平均温度只有-6.4 ℃,且曾出现-28.2 ℃的极端气温。寒冷地区冬季温度较低,在生物反应阶段,由于污水中的微生物活性以及微生物的生长代谢受到低温的影响,污水厂的脱氮除磷效果明显下降。在活性污泥法处理过程中,大部分微生物属于中温菌,在低温条件下微生物对污染物的吸附、降解性能会下降,极大提高了污染物的去除难度,在深度处理阶段依靠消耗大量药剂和能源进行处理,以满足现行的排放标准。若采用常规工艺,将消耗更多的资源和能源,能耗过大。因此,针对唐山当地污水水质的特点采用多点进水多级AO生物处理工艺进行处理,可显著节约碳源,实现污水节能降耗精准治理和再生。
1.2 水质分析
1.2.1 现状水质分析
(1)进水水质实测统计分析
对现状污水厂2016年1月—2018年11月每天的进水化学需氧量(COD)、生化需氧量(BOD5)、悬浮物(SS)、氨氮、总氮(TN)、总磷(TP)实验室实测水质指标进行统计分析,按85%或以上保证率的水质浓度作基本依据进行确定的进水水质如表1所示。

实际进水水质一般都会与原设计的水质有一定程度的差异,本工程设计进水水质主要需按照实测水质统计值进行确定。由于D厂和B厂现状进水量和设计污水量均基本相同,按照二者进水水质加权平均值作为本工程进水水质参考值。(2)按《污水排入城镇下水道水质标准》复核进水水质在《污水排入城镇下水道水质标准》(GB/T 31962—2015)中,对排入城市下水道的工业废水有明确的水质指标规定,主要水质指标如表2所示。

本工程中,实际进水水质不能超过《污水排入城镇下水道水质标准》(GB/T 31962—2015)的水质指标要求,因此,将进水水质的标准设计为CODCr≤500 mg/L。
(3)远期纳管水质构成分析
根据规划,本工程远期进水中工业污水所占比例会越来越低,生活污水比例逐步提高。目前,进水BOD5较低,远期随着生活污水比例上升,BOD5将有所提高,污水BOD5/CODCr会提高,可生化性相应提高,将有利于水处理的效果提升,因此,BOD5按实测统计值(175 mg/L)设计。按上述进水水质作为设计依据可以满足远期需求。同时在近期污水厂工艺设计时,也会考虑近期短历时高浓度进水影响因素,选择合适的处理工艺。
(4)设计进水水质的最终确定
通过上述分析,本工程进水水质如表3所示。

(5)污水性质分析
本工程中,进水水质设定为TN质量浓度为63 mg/L;BOD5质量浓度为175 mg/L,BOD5/TN=2.78,而一般认定污水中碳源充足的标准为BOD5/TN≥3,同时计算结果显示,进水水质中的碳源达不到反硝化菌的供应要求,因此,需补充碳源。为节约碳源和运行费用,本工程需采用适应低碳高氮污水的节碳工艺。
1.2.2 设计出水水质
本工程中,经处理后的废水,出水指标达到北京地标《城镇污水处理厂污染物排放标准》(DB 11/890—2012)中B标准的要求,主要水质指标符合Ⅳ类水体标准的要求,具体要求如表4所示。

02 多点进水多级AO工艺
2.1 工艺概况
多点进水多级AO在流程上与改良Bardenpho工艺相类似,但AO段根据脱氮需求,增加至3段,并通过精确的分点进水,有效分配碳源。多段AO按照缺氧/好氧安排系统结构,此环境下,反硝化菌以及硝化菌能够更好地生长。通过交替性布置,使得进水的有机碳源,在各段中都能够进行充分地反硝化,保证最后的出水TN浓度达到标准要求,从而为深度脱氮提供良好的基础。如果能够确保最后一段有足够小的进水量,或在最后一段适量投加一定的碳源,可保证出水TN质量浓度<1 mg/L。本工程通过交替性布置,使得缺氧/好氧无需增加内循环系统就可以实现,不仅有利于降低项目投资,而且系统运行能耗有效下降。这一设计手法有效解决了AO的高效运行难题。多点进水多级AO工艺流程如图1所示。

2.2 工艺特点
多点进水多级AO工艺的形式使其具有以下优点。
(1)交替布置使得缺氧/好氧无需增加内循环系统就可以实现,不仅不需要增加硝化液回流设施来促进内循环,而且还能充分发挥水质中碳源的作用,让反硝化更为充分并持续进行,在低C/N的污水中能够实现效果非常好的高效脱氮。
(2)各段中的污水通过分散进入的方式,来推迟总稀释作用的发生,使得各段中水体的污泥浓度(MLSS)形成梯度式的分布。相比其他的脱氮工艺,如果二沉池具有同样的MLSS,假设不增加二沉池负荷,多点进水多级AO工艺的MLSS更高,固体物的停留时间也会更长。多点进水多级AO工艺还可以通过合理设置进水点与进水流量分配比,来提高系统的MLSS平均水平,一般可以提高35%~70%,不仅单位池容处理能力得到有效提升,而且脱氮所需池容也大大减少。
(3)缺氧区进水中的有机物可作为反硝化所需的碳源,反硝化菌充分利用原生污水中易生物降解的CODCr,从而达到节省投加外部碳源的目的;缺氧区进水中可利用碳源在反硝化过程中消耗非常大,后续好氧区可利用的碳源因此大大减少,可以抑制异养菌的生长,为自养硝化菌创造更有利的生长环境。
(4)缺氧区在布置时与好氧区形成交替形式,缺氧区产生的碱度可以用来补充好氧区的碱度,使得系统的碱度能够维持相对的平衡;缺氧区与好氧区交替布置的形式使得每段的缺氧区成为高负荷选择器,对丝状菌的污泥膨胀形成良好的抑制作用。
(5)生反池中的污水,通过分散进入方式,能够有效增强系统的抗冲击负荷力。如果是合流制排水系统或者有雨污混接的分流制系统,只需调整流量分配比,就可有效避免暴雨所产生的巨大洪峰流量对污泥的冲刷损失。2.3影响因素
影响多点进水多级AO工艺处理效率的因素主要包括污泥龄、混合液回流、进水分配比、缺氧/好氧可调容积比、反应器段数、温度、BOD5污泥负荷等。03多点进水多级AO工艺工程设计
本工程近期共设置3座多点进水多级AO生物反应池,单座规模为10万m3/d,每座设厌氧段、一段AO、二段AO、三段AO。每池空气管形成支状,并设有电动调节阀,可通过电动调节阀对好氧池内溶解氧(DO)进行控制,对生物脱氮以及节能都有较好的效果。生反池分段分区如图2所示。

缺氧与好氧交替布置的形式使得原水中的碳源得到充分利用,从而让污水在各段中完全完成反硝化反应,因此,最后一段AO池的污水进水量决定了生反池的出水TN浓度,这种缺氧与好氧的交替布置能实现深度脱氮的目的。AO池数量为3座,每座分2组,每组可独立运行,每组处理能力为5万m3/d,有效水深为7.0 m。多点进水多级AO工艺工程设计方法主要参考《废水工程:处理及回用》(第4版)。
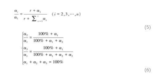
(1)分段数量n
等比例进水情况下,各段的脱氮效率计算如式(1)。

其中:η——脱氮效率;
n——分段数量;
r——污泥回流比,取100%。
实际脱氮效率η计算如式(2)。
η=(1-Ne/N0)×100% (2)
其中:N0——进水TN质量浓度,mg/L;
Ne——出水TN质量浓度,mg/L。
本工程实际脱氮效率η=(1-Ne/N0)×100%=(1-15/63)×100%=76%。
根据式(1),n=1/(1-76%)/(1+100%)=2.1,为保证脱氮效果,取分段数n=3。
(2)流量分配比例αn
采用变比例进水,假设前一段硝化产生的在随后的缺氧段完全反硝化,则工艺最后出水的含量仅与末端进水比例有关,变比例进水脱氮效率如式(3)。

其中:αn——最后一段进水比例;
R——系统最后一段的内回流比,取100%。
由于实际脱氮效率为76%,校核变比例进水计算的脱氮效率需大于此数值。
当第一缺氧段完成对硝氮的反硝化,且第一段进水中的BOD5全部用于反硝化时,则式(4)成立。

其中:k——反硝化单位所需要的有机物的量,取图片
Nc——出水硝氮质量浓度,mg/L;
S0——进水BOD5质量浓度,mg/L。
可利用此公式校核第一缺氧段进水中反硝化需要的碳源是否充足。
流量分配比例的两种设计计算方法如下。
(a)等负荷流量分配法:保持各段好养区硝化菌的污泥负荷相等(假定各段AO容积相同),如式(5)和式(6)。

求解得到α1=39.8%;α2=32.4%;α3=28.1%。
采用式(7)复核缺氧池反硝化所需碳源是否充足。
αi/αi-1=k×Nk/S0 (7)
其中,Nk——进水凯氏氮(TKN)质量浓度,mg/L。
本工程k×Nk/S0=3×59.85/149=1.21,缺氧池碳源不足,无法采用等负荷流量分配法。
(b)流量分配系数法,如式(8)和式(9)。

求解得到α1=25.79%;α2=32.71%;α3=41.50%。
校核缺氧1段碳源:
α1=25.79%>kr(Nc/S0)=3×100%×(10.5/149)=21%,碳源充足。
校核脱氮效率:
η=[1-41.50%/(1+100%+100%)]×100%=86.2%>75%,可实现出水TN质量浓度<15 mg/L。
冬季时硝化反应受低温限制,应适当延长硝化时间,可通过调整减少最后1~2级的进水量,以此来弥补低温带来的影响。
(3)好氧段泥龄θco,计算如式(10)。

其中:θco——好氧段泥龄,d。
F——安全系数,取3;
Na——生反池中氨氮质量浓度,mg/L;
Kn——硝化作用中氮的半速率常数,一般取1 mg/L,mg/L;
T——设计最低水温,取12 ℃,℃。
计算得到:
θco=3×1/[0.47×1.5/(1+1.5)×e0.098×(12-15)]=14.3 d,取θco=14.3 d。
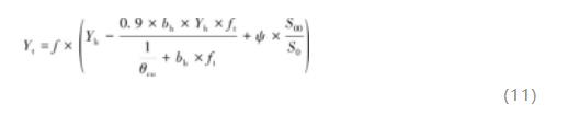
(4)污泥总产率系数Yt,计算如式(11)。

其中:Yt——污泥总产率系数;
f——污泥产率修正系数,取0.85;
Yh——异养菌产率系数,取0.6 kg SS/(kg BOD5);
bh——异养菌内源衰减系数,取0.08 d-1,d-1;
ft——温度修正系数,为1.072(T-15);
ψ——进水中不可降解SS与总SS比例,取0.5;
S00——进水SS质量浓度,mg/L。
计算得到:
Yt=0.85×[0.6-(0.9×0.08×0.6×1.07212-15)/(1/14.3+0.08×1.07212-15)+0.5×165/149]=0.76 kg SS/(kg BOD5)。
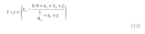
(5)污泥净产率系数Y,计算如式(12)。

求解得到:
Y=0.85×[0.6-(0.9×0.08×0.6×1.07212-15)/(1/14.3+0.08×1.07212-15)]=0.29 kg VSS/(kg BOD5)。
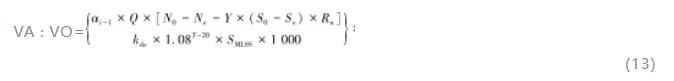
(6)每段AO容积比VA∶VO,计算如式(13)。

其中:Q——生反池进水量,万m3/d;
SMLSS——污泥质量浓度,mg/L;
Se——出水BOD5质量浓度,mg/L;
Rn——剩余污泥含氮率,取12%;
kde——20 ℃时脱氮速率,取0.05kg NO3--N/(kg MLSS·d)
将相关参数带入,得到VA∶VO=0.61∶1。
每段AO容积比相同,亦可根据每段去除TN及BOD5量,优化每段AO采用不同的容积比。
(7)总泥龄θc、好氧段泥龄θco、缺氧段泥龄θcd之间的关系如式(14)和式(15)。
θcd∶θco=VA∶VO (14)
θc=θcd+θco (15)
其中:θc——总泥龄,d;
θcd——缺氧段泥龄,d。
计算得:
θcd∶θco=VA∶VO=0.61;
θc=θcd+θco=14.3×1.61=23.0 d。
(8)回流污泥浓度Xr,计算如式(16)。

其中:tE——二沉池浓缩时间,取2 h,h。
RSVI——污泥容积指数,取125。
图片 取7 g/L。
(9)反应池内污泥浓度Xi,计算如式(17)。

其中:Xi——反应池内污泥质量浓度,g/L。
求解得到:
X1=7×100%/(100%+25%)=5.6 g/L;
X2=7×100%/(100%+35%+25%)=4.4 g/L;
X3=7×100%/(100%+1)=3.5 g/L。
(10)每段AO池容Vi,计算如式(18)。

其中:Vi——每段AO池容,m3。
经复核,各段AO停留时间分别为T1=2.68 h,T2=4.77 h,T3=6.85 h,设计取值分别为T1=3.0 h,T2=5.0 h,T3=7.0 h。
(11)单组生反池设计参数汇总如下。
本工程单组生反池处理规模为5m3/d,设计最低水温为12 ℃,最高水温为25 ℃。
经计算,产泥率为0.76 kg DS/(kg BOD5),好氧区污泥负荷为0.12 kg BOD5/(kg MLSS·d),系统泥龄为23.0 d,好氧泥龄为14.3 d。
停留时间方面,厌氧停留时间为1.0 h,多段AO区停留时间为15 h,总停留时间为16 h,其中各段AO停留时间比例为3∶5∶7,每段AO停留时间比例为0.61∶1,缺氧区总停留时间为5.7 h,好氧区总停留时间为9.3 h。
进水分配比例采用2.5∶3.5∶4.0,设计水深为7.0 m,外回流污泥为50%~100%。
曝气系统总的气水比为6.3∶1,各段好氧区曝气量比例为1.0∶1.6∶2.0,采用曝气管,通过精确曝气系统进行控制。
(12)后续深度处理工艺段
本工程后续污水深度处理工艺方案为“高效沉淀池+深床滤池”工艺,以进一步去除生反池出水中的SS和TP。同时在末端设置了O3催化氧化系统,当出水CODCr不达标时,启用该系统投加O3进行强化处理,确保出水达标,在平时能达标时则不开启O3催化氧化系统。
04 效益分析
多点进水多级AO工艺无需内回流,根据内回流污泥泵的功率计算,与常规100%内回流相比,多点进水多级AO工艺按30万m3/d的污水处理规模计算,全年可节约用电228万kW·h,约占全厂用电量的2%,按0.573元/(kW·h)电核算,可每年节约运行成本约为131万元。
多点进水多级AO工艺无需额外补充碳源,按30万m3/d的污水处理规模计算,每天可节约33%浓度的乙酸钠溶液约为18 m3,按乙酸钠3 000元/m3计算,全年可节约运行费用约为1 944万元。
05 结语
(1)多点进水多级AO工艺交替布置缺氧和好氧段,使得无需增加内循环系统就可以实现脱氮,节约能源。
(2)多点进水多级AO工艺在寒冷地区低碳高氮污水处理中有比较明显的优势,其可优化分配污水中的碳源,使得碳源能够精准地被用于脱氮除磷,节约碳源。
(3)多点进水多级AO工艺节能降耗,节约碳源,是新时代碳达峰碳中和背景下值得广泛推广的技术。
文章转载自:北极星水处理网
苏州湛清环??萍加邢薰?/p>
热线:400-110-8500
传真:0512-50310052
邮箱:sales@drtsing.com
地址:江苏省苏州市昆山市玉山镇台虹路19号